When an organization makes rules and regulations that a subsidiary organization is supposed to obey, and then fails to follow, both organizations are liable to any plaintiff injured due to the failure to follow or enforce the organizational rules, policies, regulations or standards.
Posted: July 31, 2017 Filed under: Minors, Youth, Children, Youth Camps Leave a commentIn this case, the national organization was also sued for failing to instruct and enforce the regional organization in the rules, regulations, standards or policies. If you are going to make rules, and you say the rules must be followed you have to make sure you train in the rules and that everyone follows the rules.
If you make a rule you have to enforce it if you are in charge of making rules.
Otherwise, don’t make rules!
T.K., a minor, v. Boys & Girls Clubs of America, et. al. 2017 U.S. Dist. LEXIS 87005
State: Illinois, United States District Court for the Central District of Illinois, Springfield Division
Plaintiff: T.K., a minor, by and through his natural Father and Next Friend, Timothy Killings, and Timothy Killings, individually
Defendant: Boys & Girls Clubs of America, Boys and Girls Club of Decatur, Inc., and Mary K. Paulin
Plaintiff Claims: negligence and willful and wanton misconduct
Defendant Defenses: Failure to state a claim upon which relief can be granted filed in a Motion to dismiss
Holding: for the plaintiff
Year: 2017
This case is a federal diversity case. That means the plaintiff(s) and the defendant(s) were legally residents of different states, and the amount claimed by the plaintiff was greater than $75,000.00. In this case, the plaintiff was from California, and the Defendant was located in Illinois.
The plaintiff was in Illinois and attending the Decatur Boys & Girls Club, which was part of the America Boys & Girls Club. America Boys & Girls Club was based in Georgia.
America Boys & Girls Club provided policies, procedures, rules, guidelines and instructions to the Decatur Boys & Girls Clubs, and all other Boys & Girls Clubs. The Boys & Girls Clubs are required to follow the operating policies, procedures, rules, guidelines, and instructions.
While attending the club, the plaintiff was taken to a local farm. Neither of the defendants had permission to transport the minor plaintiff to the farm. While there the plaintiff was riding on a trailer (probably a hay ride)that did not have guardrails, seats, seatbelts or other equipment designed from keeping people from falling off. (But then very few hay rides do.) The tractor and trailer were pulled onto a public highway with 15-20 children on it. While on the highway the plaintiff either jumped or fell off or might have been pushed
off sustaining injuries.
The farm trailer was not designed or intended to transport people, and the trailer lacked guardrails, seats, seatbelts, and other equipment that might prevent people from falling off it. Defendant Paulin pulled the trailer, with T.K. and 15 to 20 additional children riding on it, onto a public highway with a tractor defendant.
The issue that the trailer was not designed to be on a highway and did not have seats, seatbelts or other equipment to keep people from falling off was repeatedly brought up by the court.
The defendants filed a motion to dismiss, and this opinion is court’s response to that motion.
Analysis: making sense of the law based on these facts.
A motion to dismiss is a preliminary motion filed when the allegations in the complaint do not meet the minimum requirements to make a legally recognizable claim.
“To survive a motion to dismiss, a complaint must contain sufficient factual matter, accepted as true, to state a claim to relief that is plausible on its face.” Plausibility means alleging factual content that allows a court to reasonably infer that the defendant is liable for the alleged misconduct. A plaintiff’s complaint must suggest a right to relief, “raising that possibility above a speculative level.” “The required level of factual specificity rises with the complexity of the claim.”
When reviewing a motion to dismiss the court must look at the plaintiff’s pleadings as true and any inference that must be drawn from the pleadings is done so in favor of the plaintiff.
To plead negligence under Illinois’s law the plaintiff must prove “…that the defendant owed plaintiff a duty, it breached that duty, and the breach proximately caused plaintiff’s injury.” In Illinois, every person owes all other persons “a duty to exercise ordinary care to guard against injury which naturally flows as a reasonably probable and foreseeable consequence of his act.”
Whether this duty arises in a particular context depends on “the reasonable foreseeability of the injury, the likelihood of the injury, the magnitude of the burden of guarding against the injury, and the consequences of placing the burden on defendants.” Id. A child’s caretaker has a duty to protect the child from harm.
It is a legal question to be decided by the court if a legal duty exists.
…the relationship between him and America Boys & Girls Club and Decatur Boys & Girls Club imposed on the two organizations a duty of care to adequately supervise him and protect him from harm, any unreasonable risk of harm, dangerous instrumentalities, and dangerous conditions.
The plaintiffs argued the duty of care of the two organizations was breached by:
(1) negligently supervising him, (2) allowing and causing him to be placed on a farm trailer that was not designed for transporting children and was therefore dangerous and not reasonably safe for him, (3) failing to warn or failing to adequately warn him of the potential for injury before putting him on the trailer, (4) failing to properly supervise the minors they placed on the trailer, and (5) failing to provide enough staff members to monitor the children they placed on the trailer.
The plaintiff’s also argued there was a greater responsibility and as such duty on the part of the America Boys & Girls Club to train the Decatur club on its rules, regulations and policies and failing to train on them was also negligent.
T.K. further alleges that it failed to properly train Decatur Boys & Girls Club on the operating policies, procedures, rules, guidelines, and instructions of America Boys & Girls Club, and that it failed to supervise Decatur Boys & Girls Club to ensure that the operating policies, procedures, rules, guidelines, and instructions were followed.
In this case, the duty of care was created by the rules, regulations, policies and procedures created by the America Boys & Girls Clubs upon the Decatur Boys & Girls Club.
The plaintiff went on to argue, and since it was quoted by the court, accepted by the court that:
Defendant Paulin put him on the farm trailer even though Defendant Paulin did not have the requisite permission to give him a ride on the trailer. Defendant Paulin towed the trailer, while T.K. and 15 to 20 additional children were on board, with a tractor onto a public highway. According to T.K., Defendant Paulin owed him a duty of care to protect him from any unreasonable risk of harm and breached that duty by (1) allowing and causing him to be placed on a farm trailer that was not designed for transporting children and was therefore dangerous and not reasonably safe for him; (2)
failing to warn him of the potential for injury before putting him on the trailer and pulling the trailer onto a public highway; (3) failing to warn him that the trailer was dangerous and not reasonably safe given that the trailer had no railings, barriers, walls, or seats; and (4) creating a dangerous condition by placing him on the trailer and pulling it onto a public highway.
The court held this was enough to create a duty of care and proved a possible negligence claim.
Furthermore, of note was a statement that a statutory violation of a statute in Illinois does not create a negligence per se claim.
A violation of a statute or ordinance designed to protect human life or property is prima facie evidence of negligence. . . . The violation does not constitute negligence per se, however, and therefore the defendant may prevail by showing that he acted reasonably under the circumstances.”
The court then looked at the minor plaintiff’s father claims to see if those met the requirements to prove negligence in Illinois.
To state a negligence cause of action, Mr. Killings must plead enough facts to make it plausible that he was harmed as a proximate result of Defendants’ breach of a duty they owed to him.
However, the father was not able to prove his claim because it is separate and distinct from the minor’s claim. “The fact that Defendants were responsible for T.K.’s well-being on July 17, 2015, does not mean that Defendants had any duty to Mr. Killings.”
It was T.K., not Mr. Killings, who was placed on an unsafe farm trailer and pulled onto a public road. Defendants, therefore, had a duty to exercise ordinary care to prevent injury to T.K., not Mr. Killings. Further, Mr. Killings does not claim that he was physically injured as a result of Defendants’ negligence; his only claimed injury is the money he has spent and the money he will spend in the future for T.K.’s past and future medical treatment. In short, Mr. Killings has not met the pleading requirements for a negligence claim against any Defendant.
The father also pleaded a claim for loss of aid, comfort, society and companionship of his child. However, Illinois’s law does not allow for recovery of those emotional damages unless the child’s injury is a fatality.
The claim is not one for damages stemming from the child’s physical injury, but one founded on the parents’ liability for the minor’s medical expenses under the Illinois Family Expense Act.
However, the father did have a claim for the medical expenses the father paid on behalf of his minor son for the injuries he incurred.
The plaintiff also pleaded res ipsa loquitur.
Res ipsa loquitur allows “proof of negligence by circumstantial evidence when the direct evidence concerning cause of injury is primarily within the knowledge and control of the defendant.” The doctrine “is meant to bridge an evidentiary gap when an injury could not have happened but for the defendant’s negligence.” Accordingly, res ipsa lo-quitur applies only when the facts “admit of the single inference that the accident would not have happened unless the defendant had been negligent.”
Res ipsa loquitur is a claim that when an incident has occurred, the control of the instrumentality was solely within the control of the defendant.
Under Illinois law, a plaintiff bringing a negligence claim based on the doctrine of res ipsa loquitur must plead that he was injured “in an occurrence that ordinarily does not happen in the absence of negligence” and that it was caused “by an agency or instrumentality within the defendant’s exclusive control.
An example of res ipsa loquitur is a passenger in an airplane that crashes. The pilot is the defendant, and the
control of the airplane is solely with the pilot.
Indeed, the doctrine of res ipsa loquitur can be appropriate if the instrument that caused the injury was in the defendant’s exclusive control “at a time prior to the injury and there is no change in conditions or intervening act that could reasonably have caused the event resulting in the injury.
However, the allegations of the plaintiff did not meet the requirements of res ipsa loquitur in Illinois.
Plaintiff’s final allegation discussed in the opinion was one for willful and wanton misconduct on the part of the defendants. Under Illinois’s law to establish a claim for willful and wanton conduct, the plaintiff must.
…plead facts establishing the elements of a negligence claim–duty, breach, proximate causation, and harm–and “either a deliberate intention to harm or an utter indifference to or conscious disregard for the welfare of the plaintiff.
Generally, this is the same standard to prove willful and wanton conduct in most states. Once the negligence claim is proved, then the allegations only need to support the additional acts as willful and wanton.
Therefore, to state claims for willful and wanton misconduct against Defendants, T.K. need only additionally allege either intentional or reckless willful and wanton misconduct committed by Defendants.
The court defined willful and wanton conduct.
Reckless willful and wanton misconduct is conduct committed with an utter indifference of or a conscious disregard for the safety of others. To meet this standard, the defendant “must be conscious of his conduct, and, though having no intent to injure, must be conscious, from his knowledge of the surrounding circumstances and existing conditions, that his conduct will naturally and probably result in injury.
With the allegations plead, the court found sufficient information to confirm the plaintiff going forward with willful and wanton claims. Those allegations include:
Decatur Boys & Girls Club and America Boys & Girls Club placed him and 15 to 20 other minors on an unsafe farm trailer with no guardrails, sidewalls, barriers, or seats while providing inadequate supervision. T.K. further alleges that the trailer was not designed to transport people.
Putting kids on a trailer was a major issue for the court. Kids on a highway on a vehicle not created to transport people were enough to create willful and wanton conduct.
The defendant argued that the allegations that created the negligence claim were also allowed to be the same facts. No new allegations needed to be plead to support the claims for willful and wanton conduct.
Under Illinois’s law, “[t]he same acts by a defendant, if sufficiently egregious, can constitute both negligence and willful and wanton conduct.” Therefore, “one can plead the same facts in two counts, one characterizing them as negligence and the other as willful and wanton conduct, if the same facts could support both theories.
The plaintiff had pled enough facts that the court found relevant and substantial to continue with the negligence and willful and wanton claim.
So Now What?
The actual rules, regulations, procedures were not identified by the court in making its decision. However, the continuous restatement of the plaintiff’s allegations in the same order and words. However, the court specifically stated the defendants failed to follow their own rules.
If you have rules, regulations, policies, procedures, or you must abide by such you MUST follow them. There are no loop holes, exceptions or “just this one time” when dealing with rules, policies and procedures that affect safety or affect minors. If you make them, you must follow them.
If you make them, you must make sure everyone is trained on them. One of the big issues the plaintiff pleads and the court accepted was the rules made by the parent organization were not known or followed by the subsidiary organization. The parent organization when making rules is under a requirement to make sure
the rules are understood and followed according to this decision in Tennessee.
The other major issue was transporting the plaintiff away from the location where the parents thought the plaintiff would be without their permission and then transporting the plaintiff on a road without meeting the requirements of state law, seats, seat belts, etc.
When you have minors, especially minors under the age of ten, you are only acting within the realm and space permitted by the parents. The line that makes me cringe every time I hear it on the news is “If I would have known they were going to do ______________, I never would have let me kid go.” Listen and you
will realize you will hear it a lot when a minor is injured.
You need to prepare your program and your parents so that line is never spoken about you.
If you are interested in having me write your release, fill out this Information Form and Contract and send it to me.
What do you think? Leave a comment.
If you like this let your friends know or post it on FB, Twitter or LinkedIn
Author: Outdoor Recreation Insurance, Risk Management and Law
Copyright 2017 Recreation Law (720) Edit Law
Email: Rec-law@recreation-law.com
Google+: +Recreation
Twitter: RecreationLaw
Facebook: Rec.Law.Now
Facebook Page: Outdoor Recreation & Adventure Travel Law
Mobile Site: http://m.recreation-law.com
By Recreation Law Rec-law@recreation-law.com James H. Moss
#AdventureTourism, #AdventureTravelLaw,
#AdventureTravelLawyer, #AttorneyatLaw, #Backpacking, #BicyclingLaw, #Camps,
#ChallengeCourse, #ChallengeCourseLaw, #ChallengeCourseLawyer, #CyclingLaw,
#FitnessLaw, #FitnessLawyer, #Hiking, #HumanPowered, #HumanPoweredRecreation,
#IceClimbing, #JamesHMoss, #JimMoss, #Law, #Mountaineering, #Negligence,
#OutdoorLaw, #OutdoorRecreationLaw, #OutsideLaw, #OutsideLawyer, #RecLaw,
#Rec-Law, #RecLawBlog, #Rec-LawBlog, #RecLawyer, #RecreationalLawyer,
#RecreationLaw, #RecreationLawBlog, #RecreationLawcom, #Recreation-Lawcom,
#Recreation-Law.com, #RiskManagement, #RockClimbing, #RockClimbingLawyer,
#RopesCourse, #RopesCourseLawyer, #SkiAreas, #Skiing, #SkiLaw, #Snowboarding,
#SummerCamp, #Tourism, #TravelLaw, #YouthCamps, #ZipLineLawyer, trailer,
willful, farm, wanton misconduct, res ipsa loquitur, negligence claims, pleaded,
cognizable, exclusive control, wanton, medical expenses, supervision, pulled,
negligence per se, public road, legal conclusions, pulling, seat, factual
allegations, right to relief, conscious disregard, indifference, speculative,
supervise, reckless, notice, owed, public highway, guidelines, transport, Guide
to Safe Scouting, GSS, Standards, Rules, Regulations, Policies, National
Organization, Boy Scouts of America, Boys & Girls Clubs of America, Boys
& Girls Clubs, Child Care, ACA, American Camping Association, Child Care
Facility, Licensed Child Care, Licensed Child Care Facility,
T.K., a minor, v. Boys & Girls Clubs of America, et. al. 2017 U.S. Dist. LEXIS 87005
Posted: July 18, 2017 Filed under: Minors, Youth, Children, Youth Camps Leave a commentT.K., a minor, v. Boys & Girls Clubs of America, et. al. 2017 U.S. Dist. LEXIS 87005
T.K., a minor, by and through his natural Father and Next Friend, Timothy Killings, and Timothy Killings, individually, Plaintiffs, v. Boys & Girls Clubs of America, Boys and Girls Club of Decatur, Inc., and Mary K. Paulin, Defendants.
Case No. 16-cv-03056
UNITED STATES DISTRICT COURT FOR THE CENTRAL DISTRICT OF ILLINOIS, SPRINGFIELD DIVISION
2017 U.S. Dist. LEXIS 87005
June 6, 2017, Decided
June 7, 2017, E-Filed
CORE TERMS: trailer, willful, farm, wanton misconduct, res ipsa loquitur, negligence claims, pleaded, cognizable, exclusive control, wanton, medical expenses, supervision, pulled, negligence per se, public road, legal conclusions, pulling, seat, factual allegations, right to relief, conscious disregard, indifference, speculative, supervise, reckless, notice, owed, public highway, guidelines, transport
COUNSEL: [*1] For T.K., a Minor, By And Through His Natural Father and Next Friend, Timothy Killings, Timothy Killings, Plaintiffs: Christopher Ryan Dixon, THE DIXON INJURY FIRM, St Louis, MO.
For Boys & Girls Club of America, Boys and Girls Club of Decatur, Inc., Defendants: Randall A Mead, LEAD ATTORNEY, DRAKE NARUP & MEAD PC, Springfield, IL.
For Mary K Paulin, Defendant: Daniel R Price, LEAD ATTORNEY, WHAM & WHAM, Centralia, IL.
JUDGES: SUE E. MYERSCOUGH, UNITED STATES DISTRICT JUDGE.
OPINION BY: SUE E. MYERSCOUGH
OPINION
SUE E. MYERSCOUGH, U.S. District Judge:
Before the Court are Defendants Boys & Girls Clubs of America and Boys & Girls Club of Decatur, Inc.’s Combined Rule 12(b)(6) Motion to Dismiss Complaint and Alternative Rule 12(f) Motion to Strike Portions of Count I of the Second Amended Complaint (d/e 32) and Defendant Mary K. Paulin’s Combined Rule 12(b)(6) Motion to Dismiss Complaint and Alternative Rule 12(f) Motion to Strike Portions of Count IV of the Second Amended Complaint (d/e 33). The motion filed by Defendants Boys and Girls Club of Decatur, Inc. (Decatur Boys & Girls Club) and Boys & Girls Clubs of America (America Boys & Girls Club) is GRANTED IN PART and DENIED IN PART. Defendant Paulin’s motion is DENIED. In the Second Amended Complaint, T.K., a [*2] minor, through his father, Timothy Killings, sufficiently pleads negligence and willful and wanton misconduct causes of action against all Defendants. In addition, Mr. Killings pleads cognizable claims for T.K.’s past and future medical expenses against all Defendants. However, the allegations of the Second Amended Complaint are not sufficient to render the doctrine of res ipsa loquitur applicable against Decatur Boys & Girls Club or America Boys & Girls Club.
I. BACKGROUND
The following facts come from Plaintiffs’ Second Amended Complaint. The Court accepts them as true at the motion to dismiss stage. Tamayo v. Blagojevich, 526 F.3d 1074, 1081 (7th Cir. 2008).
On July 17, 2015, T.K., a then-eight-year-old resident of California, was a member of Decatur Boys & Girls Club, a corporate citizen of Illinois and a licensed child-care facility. On that same date, Decatur Boys & Girls Club was operating a summer camp through its agents and employees, and T.K. was under the paid care and supervision of Decatur Boys & Girls Club and America Boys & Girls Club. America Boys & Girls Club, a corporate citizen of Georgia, provides operating policies, procedures, rules, guidelines, and instructions regarding how Decatur Boys & Girls Club is to operate. Decatur [*3] Boys & Girls Club is required to follow these operating policies, procedures, rules, guidelines, and instructions.
On July 17, 2015, T.K. was taken from the premises of Decatur Boys & Girls Club in Decatur, Illinois, to property in Clinton, Illinois, owned by Defendant Paulin, an Illinois citizen. Neither Decatur Boys & Girls Club nor America Boys & Girls Club had permission to transport T.K. from Decatur to Defendant Paulin’s property in Clinton. Defendants,1 again without permission, put T.K. on a farm trailer owned by Defendant Paulin and located on Defendant Paulin’s property. The farm trailer was not designed or intended to transport people, and the trailer lacked guardrails, seats, seatbelts, and other equipment that might prevent people from falling off it. Defendant Paulin pulled the trailer, with T.K. and 15 to 20 additional children riding on it, onto a public highway with a tractor Defendant Paulin owned. The trailer was not being used in connection with a parade or a farm-related activity.
1 The use of “Defendants” in this Opinion will refer collectively to Decatur Boys & Girls Club, America Boys & Girls Club, and Mary K. Paulin.
While riding on the trailer, T.K. fell or jumped off the trailer or was pushed off. As a result, T.K. sustained injuries to his head, face, eyes, chest, neck, back, arms, lungs, hands, legs, [*4] and feet. T.K. underwent medical treatment for his injuries and will have to undergo additional treatment in the future. T.K’s father, Timothy Killings, a citizen of California, has incurred expenses related to his son’s medical care and will incur additional expenses in the future for his son’s future medical care.
On March 3, 2016, Plaintiffs filed their Complaint (d/e 1) against Defendants. Plaintiffs subsequently filed their First Amended Complaint (d/e 26) on May 23, 2016, and their Second Amended Complaint (d/e 31) on June 17, 2016. The Second Amended Complaint contains five counts. Counts 1 through 3 allege claims against Decatur Boys & Girls Club and America Boys & Girls Club for, respectively, negligence, negligence based on the doctrine of res ipsa loquitur, and willful and wanton misconduct. Counts 4 and 5 allege negligence and willful and wanton misconduct claims, respectively, against Defendant Paulin.
On June 27, 2016, Decatur Boys & Girls Club and America Boys & Girls Club filed their Combined Rule 12(b)(6) Motion to Dismiss Complaint and Alternative Rule 12(f) Motion to Strike Portions of Count I of the Second Amended Complaint, asking the Court to dismiss Counts 1 through 3 for failing to [*5] state cognizable claims or, in the alternative, to strike certain paragraphs of the Second Amended Complaint. On June 30, 2017, Defendant Paulin filed her Combined Rule 12(b)(6) Motion to Dismiss Complaint and Alternative Rule 12(f) Motion to Strike Portions of Count IV of the Second Amended Complaint, asking the Court to dismiss Counts 4 and 5 for failing to state cognizable claims or, in the alternative, to strike certain paragraphs of the Second Amended Complaint.
II. JURISDICTION
This Court has original jurisdiction over Plaintiffs’ claims because no Plaintiff is a citizen of the same state as any Defendant and Plaintiffs are seeking damages in excess of $75,000. See 28 U.S.C. § 1332(a)(1); McMillian v. Sheraton Chi. Hotel & Towers, 567 F.3d 839, 844 (7th Cir. 2009) (“When the jurisdictional threshold is uncontested, we generally will accept the plaintiff’s good faith allegation of the amount in controversy unless it appear[s] to a legal certainty that the claim is really for less than the jurisdictional amount.”) (internal quotation marks omitted).
III. LEGAL STANDARD
“To survive a motion to dismiss, a complaint must contain sufficient factual matter, accepted as true, to state a claim to relief that is plausible on its face.” Ashcroft v. Iqbal, 556 U.S. 662, 678, 129 S. Ct. 1937, 173 L. Ed. 2d 868 (2009). Plausibility means alleging factual content that allows a court to reasonably infer [*6] that the defendant is liable for the alleged misconduct. See Bell Atlantic Corp. v. Twombly, 550 U.S. 544, 547, 127 S. Ct. 1955, 167 L. Ed. 2d 929 (2007). A plaintiff’s complaint must suggest a right to relief, “raising that possibility above a speculative level.” Kubiak v. City of Chicago, 810 F.3d 476, 480 (7th Cir. 2016). “The required level of factual specificity rises with the complexity of the claim.” McCauley v. City of Chicago, 671 F.3d 611, 616-17 (7th Cir. 2011).
When faced with a Rule 12(b)(6) motion to dismiss, the Court “accept[s] as true all of the well-pleaded facts in the complaint and draw[s] all reasonable inferences in favor of the plaintiff.” Roberts v. City of Chicago, 817 F.3d 561, 564 (7th Cir. 2016). “[L]egal conclusions and conclusory allegations merely reciting the elements of the claim are not entitled to this presumption of truth.” McCauley, 671 F.3d at 616. Further, the Court is “not obliged to ignore any facts set forth in the complaint that undermine the plaintiff’s claim.” R.J.R. Servs., Inc. v. Aetna Cas. & Sur. Co., 895 F.2d 279, 281 (7th Cir. 1989). The Court may “strike from a pleading . . . any redundant, immaterial, impertinent, or scandalous matter.” Fed. R. Civ. Pro. 12(f).
IV. ANALYSIS
A. Count I and Count IV Sufficiently Plead Negligence and Medical Expense Claims Against All Defendants.
1. T.K. has pleaded cognizable negligence claims against all Defendants.
In a case where federal jurisdiction is based on diversity of citizenship under 28 U.S.C. § 1332, “[s]tate substantive law applies, but federal procedural rules govern.” Doermer v. Callen, 847 F.3d 522, 529 (7th Cir. 2017). “To state a claim for negligence under Illinois law, a plaintiff must plead [*7] that the defendant owed plaintiff a duty, it breached that duty, and the breach proximately caused plaintiff’s injury.” Allstate Indem. Co. v. ADT LLC, 110 F. Supp. 3d 856, 862-63 (N.D. Ill. 2015) (citing Simpkins v. CSX Transp., Inc., 2012 IL 110662, 965 N.E.2d 1092, 1097, 358 Ill. Dec. 613 (Ill. 2012). In Illinois, “every person owes to all other persons a duty to exercise ordinary care to guard against injury which naturally flows as a reasonably probable and foreseeable consequence of his act.” Jane Doe-3 v. McLean Cnty. Unit Dist. No. 5 Bd. of Dirs., 2012 IL 112479, 973 N.E.2d 880, 890, 362 Ill. Dec. 484 (Ill. 2012). Whether this duty arises in a particular context depends on “the reasonable foreseeability of the injury, the likelihood of the injury, the magnitude of the burden of guarding against the injury, and the consequences of placing the burden on defendants.” Id. A child’s caretaker has a duty to protect the child from harm. Ryan v. Yarbrough, 355 Ill. App. 3d 342, 823 N.E.2d 259, 262, 291 Ill. Dec. 249 (Ill. App. Ct. 2005). Whether a duty exists is a question of law to be decided by the Court. Simpkins, 965 N.E.2d at 1096.
In support of his negligence claims against America Boys & Girls Club and Decatur Boys & Girls Club, T.K.2 alleges that he was a member of Decatur Boys & Girls Club and was entrusted to the care of both organizations on July 17, 2015. Sec. Am. Complaint, ¶¶ 15-16. America Boys & Girls Club and Decatur Boys & Girls Club agreed to accept the “care, custody, and control” of T.K. for the purpose of providing child care. Id. ¶ 16. T.K. also alleges [*8] that on July 17, 2015, the relationship between him and America Boys & Girls Club and Decatur Boys & Girls Club imposed on the two organizations a duty of care to adequately supervise him and protect him from harm, any unreasonable risk of harm, dangerous instrumentalities, and dangerous conditions. Id. ¶¶ 42-43.
2 Plaintiffs do not separate T.K’s claims from Mr. Killings’ claims in the Second Amended Complaint. To avoid confusion, the Court will address the allegations of the Second Amended Complaint as those of T.K. when analyzing T.K’s claims and as those of Mr. Killings when analyzing Mr. Killings’ claims.
Further, according to T.K., America Boys & Girls Club and Decatur Boys & Girls Club breached the duty of care they owed him in several ways, including by (1) negligently supervising him, (2) allowing and causing him to be placed on a farm trailer that was not designed for transporting children and was therefore dangerous and not reasonably safe for him, (3) failing to warn or failing to adequately warn him of the potential for injury before putting him on the trailer, (4) failing to properly supervise the minors they placed on the trailer, and (5) failing to provide enough staff members to monitor the children they placed on the trailer. Id. ¶ 45. With respect to America Boys & Girls Club, T.K. further alleges that it failed to properly train Decatur Boys & Girls Club on the operating policies, procedures, rules, guidelines, and instructions of America Boys & Girls Club and [*9] that it failed to supervise Decatur Boys & Girls Club to ensure that the operating policies, procedures, rules, guidelines, and instructions were followed. Id. ¶¶ 46-47. In addition, T.K. claims that the actions of America Boys & Girls Club and Decatur Boys & Girls Club proximately caused his injuries. Id. ¶¶ 33-39, 49.
In support of his negligence claim against Defendant Paulin, T.K. alleges that on July 17, 2015, Defendant Paulin put him on the farm trailer even though Defendant Paulin did not have the requisite permission to give him a ride on the trailer. Sec. Am. Complaint, ¶¶ 21, 23. Defendant Paulin towed the trailer, while T.K. and 15 to 20 additional children were on board, with a tractor onto a public highway. Id. ¶¶ 28-29. According to T.K., Defendant Paulin owed him a duty of care to protect him from any unreasonable risk of harm and breached that duty by (1) allowing and causing him to be placed on a farm trailer that was not designed for transporting children and was therefore dangerous and not reasonably safe for him; (2) failing to warn him of the potential for injury before putting him on the trailer and pulling the trailer onto a public highway; (3) failing to warn [*10] him that the trailer was dangerous and not reasonably safe given that the trailer had no railings, barriers, walls, or seats; and (4) creating a dangerous condition by placing him on the trailer and pulling it onto a public highway. Id. ¶¶ 72-73. In addition, T.K. alleges that the actions of Defendant Paulin proximately caused his injuries. Id. ¶¶ 33-39, 75.
Based on these allegations, T.K. has sufficiently pleaded negligence claims against Decatur Boys & Girls Club, America Boys & Girls Club, and Defendant Paulin. The allegations in Count I and Count IV of the Second Amended Complaint give Defendants notice of the basis for T.K.’s negligence claims against them and are sufficient to establish that T.K. has a plausible, as opposed to speculative, right to relief against Defendants. This is all that is required of a plaintiff under the federal notice pleading regime. See Iqbal, 556 U.S. at 678; Twombly, 550 U.S. at 547.
Defendants do not seem to dispute such a finding. Indeed, their arguments for the dismissal of Count I and Count IV focus on the allegations in the Second Amended Complaint relating to an alleged violation of 625 Ill. Comp. Stat. 5/11-1408, a provision of the Illinois Vehicle Code, and claims that their alleged statutory violations constitute [*11] negligence per se. See Mot. to Dismiss (d/e 32), at 1-2; Memorandum of Law (d/e 21), at 4-6; Mot. to Dismiss (d/e 33), at 1-2; Memorandum of Law (d/e 34), at 1-2. Defendants are correct that Illinois does not recognize statutory violations as negligence per se. See Kalata v. Anheuser-Busch Companies, Inc., 144 Ill. 2d 425, 581 N.E.2d 656, 661, 163 Ill. Dec. 502 (Ill. 1991) (“A violation of a statute or ordinance designed to protect human life or property is prima facie evidence of negligence. . . . The violation does not constitute negligence per se, however, and therefore the defendant may prevail by showing that he acted reasonably under the circumstances.”). But the inclusion of allegations regarding violations of 625 Ill. Comp. Stat. 5/11-1408 and negligence per se do not require the dismissal of Count I or Count IV. As the Court has explained above, T.K. has sufficiently pleaded negligence claims against Defendants without the allegations relating to statutory violations. Cf. Bartholet v. Reishauer A.G. (Zurich), 953 F.2d 1073, 1078 (7th Cir. 1992) (“[T]he complaint need not identify a legal theory, and specifying an incorrect theory is not fatal.”).
2. Timothy Killings has pleaded cognizable medical expense claims against all Defendants.
Just because T.K. has cognizable negligence claims against Defendants does not mean that Timothy Killings, T.K.’s father, also has such claims. To state a [*12] negligence cause of action, Mr. Killings must plead enough facts to make it plausible that he was harmed as a proximate result of Defendants’ breach of a duty they owed to him. Allstate, 110 F. Supp. 3d at 862-63. Mr. Killings has failed to meet his burden. The fact that Defendants were responsible for T.K.’s well-being on July 17, 2015, does not mean that Defendants had any duty to Mr. Killings. See Bruntjen v. Bethalto Pizza, LLC, 2014 IL App (5th) 120245, 385 Ill. Dec. 215, 18 N.E.3d 215, 231 (Ill. App. Ct. 2014) (“The criterion in a duty analysis is whether a plaintiff and a defendant stood in such a relationship to each other that the law imposed an obligation upon the defendant to act for the protection of the plaintiff.”). It was T.K., not Mr. Killings, who was placed on an unsafe farm trailer and pulled onto a public road. Defendants therefore had a duty to exercise ordinary care to prevent injury to T.K., not Mr. Killings. Further, Mr. Killings does not claim that he was physically injured as a result of Defendants’ negligence; his only claimed injury is the money he has spent and the money he will spend in the future for T.K.’s past and future medical treatment. See Sec. Am. Complaint, ¶¶ 38-39. In short, Mr. Killings has not met the pleading requirements for a negligence claim against any Defendant.
But just because Mr. [*13] Killings has not pleaded cognizable negligence claims against Defendants does not mean that he has pleaded no cognizable claims against them. In Illinois, parents have a cause of action against a tortfeasor who injures their child and causes them to incur medical expenses. Pirrello v. Maryville Acad., Inc., 2014 IL App (1st) 133964, 386 Ill. Dec. 108, 19 N.E.3d 1261, 1264 (Ill. App. Ct. 2014). The claim is not one for damages stemming from the child’s physical injury, but one founded on the parents’ liability for the minor’s medical expenses under the Illinois Family Expense Act. Id.; see also 750 Ill. Comp. Stat. 65/15(a)(1) (obligating parents to pay for the “expenses of the family”). T.K. has pleaded cognizable negligence claims against Defendants. Mr. Killings alleges that he has been saddled with bills stemming from T.K.’s medical care, some of which he has paid, and that he will incur additional medical bills in the future as a result of the injuries T.K. suffered on account of Defendants’ negligence. Sec. Am. Complaint, ¶¶ 38-39. Mr. Killings is the father of T.K., a minor, and is required by law to pay for T.K.’s medical expenses, Mr. Killings has adequately pleaded claims against Defendants for the recovery of the amounts paid or to be paid for T.K.’s past and future medical expenses stemming from Defendants’ negligence.
One [*14] final point merits a brief discussion. In the Second Amended Complaint, Mr. Killings alleges that he has suffered, as a result of T.K.’s injuries, “loss of aid, comfort, society, companionship, pleasure, and the family relationship.” Sec. Am. Complaint, ¶ 40. However, in Illinois, a parent may not “recover for loss of the society and companionship of a child who is nonfatally injured.” Vitro v. Mihelcic, 209 Ill. 2d 76, 806 N.E.2d 632, 633, 282 Ill. Dec. 335 (Ill. 2004). Therefore, Mr. Killings has no valid claim for loss of society and companionship in this case.
3. The Court strikes paragraph 27 from Plaintiffs’ Second Amended Complaint.
As an alternative to the dismissal of Count I of the Second Amended Complaint, Defendants Decatur Boys & Girls Club and America Boys & Girls Club ask the Court to strike paragraphs 50 through 55 of the Complaint. Mot. to Dismiss (d/e 32), at 2. Similarly, Defendant Paulin asks the Court, as an alternative to the dismissal of Count IV, to strike paragraphs 76 through 81 of the Second Amended Complaint. Mot. to Dismiss (d/e 33), at 1-2. According to Defendants, the Court should strike these paragraphs because they are ultimately used to claim that Defendants’ alleged statutory violations constitute negligence per se.
Additionally, Defendants [*15] Decatur Boys & Girls Club and America Boys & Girls Club request that the Court strike paragraph 27 from the Second Amended Complaint for being duplicative of paragraph 25 and strike paragraphs 42, 43, 44, 48, 68, 69, and 70 because those paragraphs are legal conclusions. Mot. to Dismiss (d/e 32), at 4. But even assuming that the aforementioned paragraphs are legal conclusions, as opposed to factual allegations, that is no reason to strike them from the Second Amended Complaint. Although Plaintiffs are required to plead facts that indicate they have a plausible, as opposed to a speculative, right to relief, see Iqbal, 556 U.S. at 678, they are not prohibited from also pleading legal conclusions that might help to provide Defendants with notice of the claims brought against them or provide context for the factual allegations. See State Farm Mut. Auto. Ins. Co. v. Riley, 199 F.R.D. 276, 278 (N.D. Ill. 2001) (citing Neitzke v. Williams, 490 U.S. 319, 325, 109 S. Ct. 1827, 104 L. Ed. 2d 338 (1989)) (noting that “legal conclusions are an integral part of the federal notice pleading regime” and that Rule 8(b) of the Federal Rules of Civil Procedure requires parties to respond to all allegations contained within a pleading, including legal conclusions). Therefore, the Court strikes only paragraph 27 of the Second Amended Complaint, as it is duplicative of paragraph 25.
B. The Allegations of Plaintiffs’ Second Amended [*16] Complaint Are Insufficient to Render the Doctrine of Res Ipsa Loquitur Applicable Against Decatur Boys & Girls Club and America Boys & Girls Club.
Res ipsa loquitur is a rule of evidence applicable to a negligence claim, not a distinct theory of recovery. Rice v. Burnley, 230 Ill. App. 3d 987, 596 N.E.2d 105, 108, 172 Ill. Dec. 826 (Ill. App. Ct. 1992). Res ipsa loquitur allows “proof of negligence by circumstantial evidence when the direct evidence concerning cause of injury is primarily within the knowledge and control of the defendant.” Metz v. Cent. Ill. Elec. & Gas Co., 32 Ill. 2d 446, 207 N.E.2d 305, 307 (Ill. 1965). The doctrine “is meant to bridge an evidentiary gap when an injury could not have happened but for the defendant’s negligence.” Buechel v. United States, 746 F.3d 753, 765 (7th Cir. 2014). Accordingly, res ipsa loquitur applies only when the facts “admit of the single inference that the accident would not have happened unless the defendant had been negligent.” Britton v. Univ. of Chi. Hosps., 382 Ill. App. 3d 1009, 889 N.E.2d 706, 709, 321 Ill. Dec. 441 (Ill. App. Ct. 2008). Whether the doctrine of res ipsa loquitur applies is a question of law to be determined by the Court. Imig v. Beck, 115 Ill. 2d 18, 503 N.E.2d 324, 329, 104 Ill. Dec. 767 (Ill. 1986).
Under Illinois law, a plaintiff bringing a negligence claim based on the doctrine of res ipsa loquitur must plead that he was injured “in an occurrence that ordinarily does not happen in the absence of negligence” and that it was caused “by an agency or instrumentality within the defendant’s exclusive control.” Avalos-Landeros v. United States, 50 F. Supp. 3d 921, 927 (N.D. Ill. 2014) (citing Heastie v. Roberts, 226 Ill. 2d 515, 877 N.E.2d 1064, 1076, 315 Ill. Dec. 735 (Ill. 2007)). Although, in the past, [*17] a plaintiff had to allege that the “the injury occurred under circumstances indicating that it was not due to any voluntary act or neglect on the part of the plaintiff,” this requirement was removed due to the adoption of comparative fault principles in Illinois. Heastie, 877 N.E.2d at 1076. With respect to the requirement of “exclusive control,” a defendant’s control over the instrumentality “at the time of the alleged negligence is not defeated by lack of control at the time of the injury.” Darrough v. Glendale Heights Cmty. Hosp., 234 Ill. App. 3d 1055, 600 N.E.2d 1248, 1252-53, 175 Ill. Dec. 790 (Ill. App. Ct. 1992). Indeed, the doctrine of res ipsa loquitur can be appropriate if the instrument that caused the injury was in the defendant’s exclusive control “at a time prior to the injury and there is no change in conditions or intervening act that could reasonably have caused the event resulting in the injury.” Id. at 1253.
T.K. alleges that “a minor child under the care and supervision of a registered, licensed professional child care facility does not ordinarily sustain serious injuries when properly supervised in the absence of negligence.” Sec. Am. Complaint, ¶ 60. Further, T.K. claims that at the time he sustained his injuries, the farm trailer that injured him was under the exclusive control of Decatur Boys & Girls Club and America Boys [*18] & Girls Club. Id. ¶ 61. These allegations are not sufficient to render the doctrine of res ipsa loquitur applicable here. See Twombly, 550 U.S. at 545 (noting that “a formulaic recitation of a cause of action’s elements” will not withstand a Rule 12(b)(6) motion to dismiss). And although the Second Amended Complaint contains numerous factual allegations regarding the incident in which T.K. was injured, those allegations do not indicate a plausible right to relief for T.K. under the doctrine of res ipsa loquitur.
Because the facts pleaded in Plaintiffs’ Second Amended Complaint provide no support for the second prong in the res ipsa loquitur analysis–whether an injury was caused by an object within the defendant’s exclusive control–the Court’s res ipsa loquitur analysis will begin and end with that prong. Even assuming that the incident in which T.K. was injured was one that does not ordinarily occur in the absence of negligence, T.K.’s account of the circumstances surrounding the accident indicate that it was Defendant Paulin, not Decatur Boys & Girls Club or America Boys & Girls Club, who had exclusive control of the farm trailer. According to the Second Amended Complaint, the farm trailer that injured T.K. was owned [*19] by Defendant Paulin and located on Defendant Paulin’s property. Defendant Paulin was the one who pulled the trailer onto a public road with T.K. and several other minor children on board. Defendant Paulin owned the tractor with which the trailer was pulled. Although T.K. claims that Decatur Boys & Girls Club and America Boys & Girls Club were responsible for placing him on the farm trailer, he makes the same allegation with respect to Defendant Paulin. See Sec. Am. Complaint, ¶¶ 22-23. In short, there is nothing in the Second Amended Complaint to support T.K.’s allegation that Decatur Boys & Girls Club and America Boys & Girls Club were in exclusive control of the farm trailer at any time.
Based on this analysis, the Court has determined that the factual allegations of the Second Amended Complaint are not sufficient to render the doctrine of res ipsa loquitur applicable. In doing so, the Court again notes that res ipsa loquitur is an evidentiary rule, not a distinct theory of recovery. If facts uncovered through the discovery process sufficiently support the application of res ipsa loquitur against any Defendant, the Court will allow T.K. to rely on the doctrine at the summary judgment [*20] stage and will allow the trier of fact to consider and apply the doctrine as to that Defendant.
C. Count III and Count V Sufficiently Plead Willful and Wanton Misconduct Claims Against the Defendants.
To state a claim under Illinois law for willful and wanton misconduct, a plaintiff must plead facts establishing the elements of a negligence claim–duty, breach, proximate causation, and harm–and “either a deliberate intention to harm or an utter indifference to or conscious disregard for the welfare of the plaintiff.” Kirwan v. Lincolnshire-Riverwoods Fire Protections Dist., 349 Ill. App. 3d 150, 811 N.E.2d 1259, 1263, 285 Ill. Dec. 380 (Ill. App. Ct. 2004) (quoting Adkins v. Sarah Bush Lincoln Health Ctr., 129 Ill. 2d 497, 544 N.E.2d 733, 743, 136 Ill. Dec. 47 (Ill. 1989)). As noted above, T.K. has sufficiently pleaded negligence causes of action against all Defendants. T.K. has incorporated the allegations comprising his negligence claims into his willful and wanton misconduct claims against Defendants. Therefore, to state claims for willful and wanton misconduct against Defendants, T.K. need only additionally allege either intentional or reckless willful and wanton misconduct committed by Defendants. Reckless willful and wanton misconduct is conduct committed with an utter indifference of or a conscious disregard for the safety of others. Kirwan, 811 N.E.2d at 1263. To meet this standard, the defendant “must be conscious of his conduct, [*21] and, though having no intent to injure, must be conscious, from his knowledge of the surrounding circumstances and existing conditions, that his conduct will naturally and probably result in injury.” Id.
In the Second Amended Complaint, T.K. alleges that on July 17, 2015, Decatur Boys & Girls Club and America Boys & Girls Club placed him and 15 to 20 other minors on an unsafe farm trailer with no guardrails, sidewalls, barriers, or seats while providing inadequate supervision. Sec. Am. Complaint, ¶¶ 22, 65. T.K. further alleges that the trailer was not designed to transport people. Id. ¶ 24. T.K claims that Decatur Boys & Girls Club and America Boys & Girls Club failed to take necessary safety precautions and operated their summer camp recklessly or with gross negligence. Id. ¶¶ 64, 68. According to T.K., the actions and inaction of Decatur Boys & Girls Club and America Boys & Girls Club were “willful, wanton, grossly negligent, careless, [and] reckless” and “showed an utter indifference to or conscious disregard for the safety of [T.K.].” Id. ¶ 70.
T.K. also includes several allegations in Count III about what Decatur Boys & Girls Club and America Boys & Girls Club “knew or should have [*22] known.” Specifically, according to T.K., Decatur Boys & Girls Club and America Boys & Girls Club knew or should have known that the farm trailer was unreasonably dangerous, that additional supervision was required for the 15 to 20 children riding on the farm trailer, and that there was no way for the children to be properly seated on the farm trailer. Id. ¶¶ 66-68. Decatur Boys & Girls Club and America Boys & Girls Club also knew or should have known that placing children on the farm trailer and pulling it with a tractor without proper supervision posed a high probability of serious physical harm to T.K. Id. ¶ 69.
With respect to Defendant Paulin, T.K. alleges that Defendant Paulin placed T.K. on a farm trailer that was not designed or intended to transport people and had no guardrails, seats, or seat belts to prevent people from falling off it. Id. ¶¶ 23, 25-26. Further, T.K. claims that Defendant Paulin had no intention of making sure that T.K. was safe when she placed him on the farm trailer and pulled it onto a public road. Id. ¶ 83. T.K. also claims that Defendant Paulin failed to take necessary safety precautions. Id. ¶ 85. Defendant Paulin’s conduct, according to T.K., was “willful, [*23] wanton, grossly negligent, careless, [and] reckless” and showed a “conscious disregard for the safety of [T.K.].” Id. ¶ 87.
As with Decatur Boys & Girls Club and America Boys & Girls Club, T.K. includes allegations in the Second Amended Complaint regarding what Defendant Paulin “knew or should have known.” Specifically, T.K. alleges that Defendant Paulin knew or should have known that the farm trailer was unreasonably dangerous, that pulling children onto a public road while on the trailer was unreasonably dangerous, and that placing children on the farm trailer and pulling the trailer onto a public roadway without proper supervision posed a high probability of serious physical harm or death. Id. ¶¶ 83-84, 86.
T.K.’s allegations are sufficient to plead willful and wanton misconduct claims against Defendants. The Federal Rules of Civil Procedure require that a pleading include “a short and plain statement of the claim showing that the pleader is entitled to relief.” Fed. R. Civ. Pro. 8(a)(2). A plaintiff need not plead enough facts to show that he is likely to prevail on his claim; rather, he is required only to include enough facts to raise his claim from speculative to plausible. See Iqbal, 556 U.S. at 678. The allegations set forth [*24] above are sufficient to make it plausible that Defendants committed willful and wanton misconduct when they put T.K. on an unsafe farm trailer not designed for transporting people, failed to take necessary safety precautions, and either failed to properly supervise T.K. or pulled the trailer, with T.K. on it, onto a public road. See Worthem v. Gillette Co., 774 F. Supp. 514, 517 (N.D. Ill. 1991) (holding that the plaintiff had sufficiently pleaded willful and wanton misconduct claims where she alleged that “willful and wanton acts or omissions [were] committed or omitted with conscious indifference to existing circumstances and conditions” and went on to “enumerate specific instances of willful and wanton conduct”).
Although T.K.’s “knew or should have known” allegations against Defendants may have been insufficient to meet his pleading burden with respect to willful and wanton misconduct claims, see id. (admitting that the court “might agree” with the defendant’s arguments that “knew or should have known” allegations are mere negligence allegations insufficient to merit punitive damages), T.K. does not rely solely on these allegations in his willful and wanton misconduct claims against Defendants. Indeed, as the Court has noted above, Count III [*25] and Count V of the Second Amended Complaint, which incorporate the allegations from the counts preceding them, contain specific factual allegations regarding the actions Defendants took. Further, the Court does not view T.K.’s “knew or should have known” allegations as completely irrelevant to a willful and wanton misconduct claim under Illinois law, which holds that willful and wanton misconduct can be found where there is a failure to discover a danger through carelessness when it could have been discovered through the exercise of ordinary care. Ziarko v. Soo Line R.R. Co., 161 Ill. 2d 267, 641 N.E.2d 402, 406, 204 Ill. Dec. 178 (Ill. 1994).
The fact that T.K. bases his willful and wanton claims on the same facts as his negligence claims is of no concern. Under Illinois law, “[t]he same acts by a defendant, if sufficiently egregious, can constitute both negligence and willful and wanton conduct.” Bastian v. TPI Corp., 663 F. Supp. 474, 476 (N.D. Ill. 1987) (citing Smith v. Seiber, 127 Ill. App. 3d 950, 469 N.E.2d 231, 235, 82 Ill. Dec. 697 (Ill. App. Ct. 1984). Therefore, “one can plead the same facts in two counts, one characterizing them as negligence and the other as willful and wanton conduct, if the same facts could support both theories.” Bastian, 663 F. Supp. at 476 (citing O’Brien v. Twp. High Sch. Dist. 214, 83 Ill. 2d 462, 415 N.E.2d 1015, 1018, 47 Ill. Dec. 702 (Ill. 1980).
V. CONCLUSION
For the foregoing reasons, Defendants Boys & Girls Club of America and Boys & Girls Club of Decatur, Inc.’s Combined Rule 12(b)(6) Motion to Dismiss Complaint and Alternative Rule 12(f) Motion [*26] to Strike Portions of Count I of the Second Amended Complaint (d/e 32) is GRANTED IN PART and DENIED IN PART. Count II of Plaintiffs’ Second Amended Complaint is DISMISSED WITHOUT PREJUDICE. Further, the Court STRIKES paragraph 27 of Plaintiffs’ Second Amended Complaint as duplicative. Defendant Mary K. Paulin’s Combined Rule 12(b)(6) Motion to Dismiss Complaint and Alternative Rule 12(f) Motion to Strike Portions of Count IV of the Second Amended Complaint (d/e 33) is DENIED. Pursuant to Rule 12(a)(4)(A) of the Federal Rules of Civil Procedure, Defendants have 14 days from the date they receive a copy of this Order to file an answer to Plaintiffs’ Second Amended Complaint.
ENTER: June 6, 2017.
/s/ Sue E. Myerscough
SUE E. MYERSCOUGH
UNITED STATES DISTRICT JUDGE
New Wilderness Medical Society Practice Guidelines: If you are an outdoor provider, these are you first aid standards of care.
Posted: February 11, 2015 Filed under: First Aid, Medical | Tags: Guidelines, Wilderness Medical Society, Wilderness Medicine, WMS Leave a commentNo matter what you think or what you have been told, these are how you will be judged based on your training
The Wilderness Medical Society has published updated and new Practice Guidelines for Wilderness Emergency Care. Those guidelines cover:
· Use of epinephrine in Outdoor Education and Wilderness Settings: 2014 Update
· Treatment of Eye Injuries and Illnesses in the Wilderness
· Treatment of Exercise-Associated Hyponatremia
· Prevention and Treatment of Frostbite
· Prevention and Treatment of Heat-Related Illness
· Out-of-Hospital Evaluation and Treatment of Accidental Hypothermia
· Prevention and Treatment of Lightning Injuries
· Treatment of Acute Pain in Remote Environments
· Spine Immobilization in the Austere Environment
· Basic Wound Management in the Austere Environment
As well as understanding the new guidelines, make sure you understand the conditions under which the guidelines should be used.
You can access these guidelines by joining the Wilderness Medical Society here: Join Wilderness Medical Society.
If you work in the outdoors and want to provide first aid care to your fellow workers, clients, participants and friends you should understand these new guidelines.
What do you think? Leave a comment.
If you like this let your friends know or post it on FB, Twitter or LinkedIn
Copyright 2015 Recreation Law (720) Edit Law
Email: Rec-law@recreation-law.com
Google+: +Recreation
Twitter: RecreationLaw
Facebook: Rec.Law.Now
Facebook Page: Outdoor Recreation & Adventure Travel Law
Blog: www.recreation-law.com
Mobile Site: http://m.recreation-law.com
By Recreation Law Rec-law@recreation-law.com James H. Moss #Authorrank
#AdventureTourism, #AdventureTravelLaw, #AdventureTravelLawyer, #AttorneyatLaw, #Backpacking, #BicyclingLaw, #Camps, #ChallengeCourse, #ChallengeCourseLaw, #ChallengeCourseLawyer, #CyclingLaw, #FitnessLaw, #FitnessLawyer, #Hiking, #HumanPowered, #HumanPoweredRecreation, #IceClimbing, #JamesHMoss, #JimMoss, #Law, #Mountaineering, #Negligence, #OutdoorLaw, #OutdoorRecreationLaw, #OutsideLaw, #OutsideLawyer, #RecLaw, #Rec-Law, #RecLawBlog, #Rec-LawBlog, #RecLawyer, #RecreationalLawyer, #RecreationLaw, #RecreationLawBlog, #RecreationLawcom, #Recreation-Lawcom, #Recreation-Law.com, #RiskManagement, #RockClimbing, #RockClimbingLawyer, #RopesCourse, #RopesCourseLawyer, #SkiAreas, #Skiing, #SkiLaw, #Snowboarding, #SummerCamp, #Tourism, #TravelLaw, #YouthCamps, #ZipLineLawyer, WMS, Wilderness Medical Society, Guidelines, Wilderness Medicine,
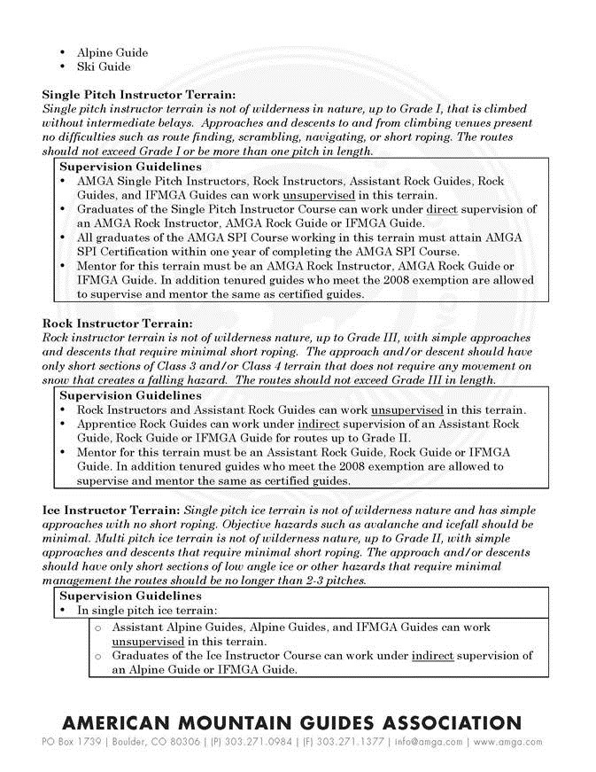
AMGA Terrain and Supervision Guidelines? Making more rules does not make things safer. Rarely does that work, look at the laws concerning our highways and the highway deaths. Making more rules does lead to more lawsuits. Again, look at our highways.
Posted: December 5, 2014 Filed under: Mountaineering | Tags: American Mountain Guides Association, AMGA, Bureau of Land Management, Guidelines, IFMGA, International Federation of Mountain Guides Associations, Mountaineering, National Park Service, National Wilderness Preservation System, Terrain, UIAGM, United States Congress, United States Department of the Interior, United States Fish and Wildlife Service, United States Forest Service 8 CommentsThe latest actions of AMGA hit a lot of nerves and rightfully so. As usual, the lack of understanding and the desire to create something (not sure what) labeled standards are going to create lawsuits. The new Terrain & Supervision Guidelines won’t solve any problems; they’ll only create new ones.
I’ve attached the new requirements here below, so you can review them yourself. If not, you can download your own set here: Terrain & Supervision Guidelines. I’m not sure why the AMGA has created the new requirements. I’ve been told it is a money thing, I’ve been told it is a safety thing, I’ve been told it is a back door into trying to get permits on NPS lands; I have no real idea. I do know it won’t accomplish any of those goals. I did not contact the AMGA to find out what or why.
Attorneys love to deal in fuzzy it gives them latitude to litigate. The only time they don’t like fuzzy is when something is solid and proves their case without having to work very hard. The new Terrain & Supervision Guidelines are the classic sharp line to help prove the defendant was wrong and everything else is fuzzy so no one really knows how to help the defendant.
Let me reminisce.
I quit providing pro bono legal work to the AMGA over fifteen years ago when another attorney said he could get the AMGA into national parks. I told the AMGA that would never happen. I moved on. Fifteen years later and at least two attorneys failing to pull AMGA guides into parks, the AMGA might be going around to the back door believing the back door will open.
Back doors meaning the NPS employees in individual parks who lead the rescues have to deal with the current concessionaires; who they don’t like (familiarity breed’s contempt). It is always easier to like someone who is sucking up in the belief; you can get them in a park to guide.
The problem is the door is not at any park; the door is in Washington DC no matter what the AMGA wants to believe. It doesn’t start at 1849 C St NW, Washington, DC 20240, the Department of the Interior address, either, but at Congress. Congress made the laws the NPS, and the USFS are enforcing on commercial guides on Federal lands. Until the AMGA can raise millions, probably $10 million dollars to lobby Congress, nothing will even look like it is going to change. And I suspect that the $10 million is not enough because the current companies that own permits and concessions will lobby against it, and they are bigger. Remember the big hotel concessions in the parks also run raft trips, trail rides and work with climbing guides.
However, I’ve also been told that the AMGA has backed off from the position that AMGA guides should be allowed to guide in National Parks.
I have found some legal disasters in the new Terrain & Supervision Guidelines.
The guidelines won’t apply to staff hired prior to 2008. An arbitrary number I guess, or probably the number when the last member of the committee became certified and was hired. I sat through board meetings when the first date of guides to be grandfathered under the UIAGM was determined. It was ugly, funny and basically a turf war. Trial attorneys will tear this up. (How come Guide X made it and Guide Y did not. Guide Y has thousands of year’s more recent experience, and Guide X has not been on a mountain since 08?)
The guidelines require that everything has to be documented “in the guide’s personnel file.” Thank heavens the AMGA has reviewed all HR laws in the US and knows this will not create problems. If personal files are paper, then you better get accordion files. To back this up, you’ll have to collect all the information supporting the requirements in the guidelines first, and then add the review of the supervising guides and the evaluations. Weather conditions, snow conditions, terrain maps, route maps, etc., can take a lot of space in a file folder.
My favorite rule is one that requires a guide who has not made the qualifications yet, must be under the direct supervision of a guide who has met the qualifications. Unless the guide, who has met the qualifications, has to take guests down the mountain, then the two guides can be in radio contact. The rules allow the least experienced guide to remain up high, alone.
Direct Supervision: Direct supervision implies side by side guiding such as two rope teams traveling near by on a glacier or on nearby multi-pitch routes, daily briefings and debriefings about route selection, strategy, and client care. Side by side guiding and meetings should be documented in the guide’s personnel file. It is the supervising guide’s responsibility to ensure that assigned tasks are appropriate to a guide’s training and ability. It is allowable for the mentored guide to be in radio or phone contact when turning around with clients to descend.
What if the guide who has been certified, leaves to summit with a group of clients, can the one who hasn’t been certified stay with the clients who don’t/can’t summit. They’ll be in radio contact?
So you make a rule, then you make an exception to the rule. On Denali in a few years, this will be a disaster. The new concession requirements for climbing concessions are going to reduce the number of guides with a commercial group. Rescues will be done without commercial guides because a guide won’t be able to leave the group and work the rescue with these guidelines. (Rescues in the future on Denali are going to be a mess with the latest version of the commercial rules anyway, that is a whole other article.)
The languages of the guidelines are full of legal land mines. Here are some of my favorites.
…who are appropriately trained, tenured or certified
It is the supervising guide’s responsibility to ensure that assigned tasks are appropriate to a guide’s training and ability.
Certified supervisors
…is not of wilderness in nature
My favorite are the terms applied to different people.
Apprentice Guide
Assistant Guide
Aspirant Mountain Guide
Certified Guide
So does that mean you are a patrol leader or a star scout? More importantly do you get a badge?
Here are some more phrases that seem innocuous but don’t make sense.
The stated goal of the new accreditation standard is to have all field staff, except those meeting the 2008 exemption, be trained by the AMGA for the terrain they work on.
So guides who met the requirements prior to 2008 cannot have a lick of training, sense or experience now and not be up to date on the requirements.
How is this going to happen? So I have a concession to guide on Denali. Am I supposed to bring you on one of my trips to tell me that you can train me on this terrain? What about the NPS on this issue and their current regulations. I guess you can come, go sign up and pay the fee, and I’ll take you where I am permitted to go.
AMGA courses are considered the baseline technical training for specific terrain types and are not a substitute for in-house training.
Yet above, they said this is the best you can get? What is this going to mean in court? The AMGA is just the baseline, yet the states the IFMGA (UIAGM) are now the baseline.
(The IFMGA (UIAGM) was founded to allow guides in Europe to guide everywhere and is the International Organization the AMGA must follow.)
I doubt that this has been run by the IFMGA (UIAGM).
Do Something
What’s going to happen? The big concessionaire members of the AMGA are either going to leave and financially sink the AMGA or revolt. No one will be happy either way. They don’t need greater chances of being sued. People die on mountains, and I would guess these new guidelines are not going to change that. They know the terrain and have in place, with NPS approval a way of guiding customers and training staff.
I have not taken the time to compare these guidelines with current NPS regulations for various mountains. I suspect there may be some conflicts. What is a concessionaire supposed to do, not follow the NPS and lose their permit or not follow these. Let’s see I pay money to the AMGA I make money with my NPS permit. Who am I going to follow?
These guidelines, like all standards for people, will only create a checklist for the attorney representing an injured client to sue. The guidelines will be taken and incorporated in interrogatories about each member of the guiding team. One misstep on the mountain or in discovery and these guidelines will change the lawsuit from what we can defend to how much we have to pay.
Don’t get me wrong. The American Mountain Guides Association has some of the greatest people I know as members and as an organization has accomplished tons. However, it is faced with an impossible job with no money to accomplish the job: the promise the AMGA made to the IFMGA in 1993 is never going to come through.
However, making standards, guidelines for people do not stop lawsuits; they only help the plaintiff’s win lawsuits.
Click on the link to download your own copy of the Terrain & Supervision Guidelines.
See the following articles where association guidelines were used to sue the association member:
ACA Standards are used by Expert for the Plaintiff in a lawsuit against a Camp http://rec-law.us/zmKgoi
Great article about the risks of an organization creating standards for members of the industry – and I did not write it http://rec-law.us/1rk8oHR
If your organization says you do something and you are a member of the organization you better do it or be able to explain why you did not http://rec-law.us/1gOLpju
Expert Witness Report: ACA “Standards” are used by Expert for the Plaintiff in a lawsuit against a Camp http://rec-law.us/y7QlJ3
Industry standards are proof of gross negligence and keep defendant in lawsuit even with good release http://rec-law.us/1dqBdxo
Plaintiff uses standards of ACCT to cost defendant $4.7 million http://rec-law.us/11UdbEn
So if you write standards, you can, then use them to make money when someone sues your competitors http://rec-law.us/1gCGce8
Trade Association Standards sink a Summer Camp when plaintiff uses them to prove Camp was negligent http://rec-law.us/wszt7N
What do you think? Leave a comment.
If you like this let your friends know or post it on FB, Twitter or LinkedIn
Copyright 2013 Recreation Law (720) Edit Law
Email: Rec-law@recreation-law.com
Google+: +Recreation
Twitter: RecreationLaw
Facebook: Rec.Law.Now
Facebook Page: Outdoor Recreation & Adventure Travel Law
Blog: www.recreation-law.com

